新葡京娱乐城app

学生工作

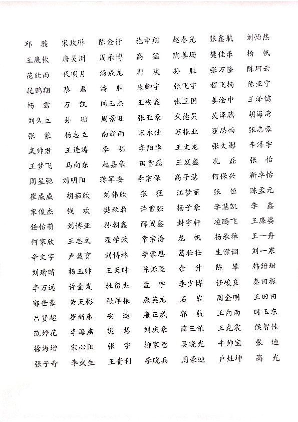
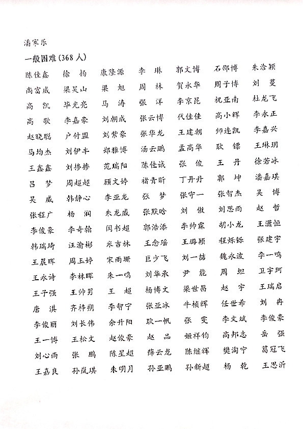
新葡京娱乐城App 2022年家庭经济困难学生认定名单公示

发布时间:2022-09-09 16:00    浏览次数:
       根据《教育部等六部门关于做好家庭经济困难学生认定工作的指导意见》《河南省家庭经济困难学生认定工作实施办法》和《新葡京娱乐城App 家庭经济困难学生认定办法(修订)》精神,新葡京娱乐城App 认真开展贫困认定工作,结合各学生班推荐报备情况,经新葡京娱乐城App 学生工作领导小组和资助工作领导小组研究生审核,最终确定2022-2023 学年家庭经济困难学生认定名单,现公示如下: