新葡京娱乐城app

信息中心

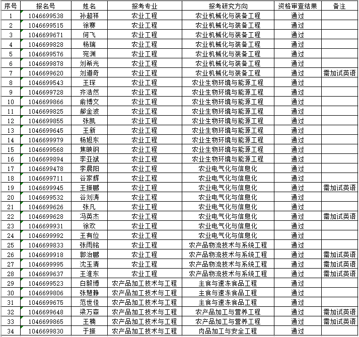
新葡京娱乐城App 2025年博士研究生“申请考核制”资格审查通过名单公示

发布时间:2025-05-01 16:48    浏览次数:
        根据《新葡京娱乐城App 博士研究生招生“申请考核制”管理办法(校政研〔2018〕6号)》、《新葡京娱乐城App 2025年博士研究生招生简章》、《新葡京娱乐城App 2025年博士研究生招生“申请考核制”实施细则》等文件精神和要求,经考生个人网上报名,新葡京娱乐城App 审核小组按照申请条件对考生材料进行了严格的资格审查,现将通过资格审查的考生名单公示如下:
         公示时间:2025年5月1日—2025年5月7日
         联系电话:0371-63558046
         联系地址:郑州市金水区农业路63号新葡京娱乐城App 205室
                      新葡京娱乐城App
2025年5月1日